+86-28-82633987sales@biopurify.com
cnen
  • iso9001 iso9001
  • iso17025 iso17025
  • usp usp
Home > Product Catalog > TCM Compound Library
Biopurify TCM compounds library offers over 4600 compounds, many of which are unique to us.
              *There are 3 sub-libraries to meet different budgets and demands.
               Selection is available across the library, and among compound types (e.g. Alkaloids, Flavonoids, Terpenoids, etc.)

               * All compounds passed the HPLC, MS and NMR tests. Most of our products are provided with at least 98% purity.
                High purity minimize the occurrence of false positives.

               * All compounds can be provided in individual packages from 2mg to 10mg.

               * All compounds can be provided with an SDF file for computer screening.

               * Large scale production is also available on demand.
                  For many compounds, we already have a few grams or more in stock and ready for sale. Please contact us with the specific compounds needed.

.

 
5-Deoxypulchelloside I
Product name: 5-Deoxypulchelloside I
CAS NO.: 115075-53-1  Formula: C17H26O11
Phlorigidoside C
Product name: Phlorigidoside C
CAS NO.: 276691-32-8  Formula: C17H24O11
6,7-Dimethoxy-2-phenethylchromone
Product name: 6,7-Dimethoxy-2-phenethylchromone
CAS NO.: 84294-87-1  Formula: C19H18O4
6-Hydroxy-2-(2-phenylethyl)chromone
Product name: 6-Hydroxy-2-(2-phenylethyl)chromone
CAS NO.: 84294-90-6  Formula: C17H14O3
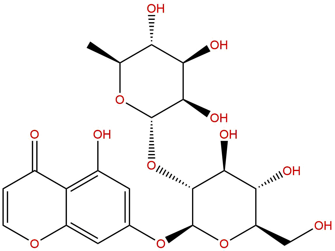
5,7-dihydroxychromone-7-O-neohesperidoside
Product name: 5,7-dihydroxychromone-7-O-neohesperidoside
CAS NO.: 84575-25-7  Formula: C21H26O13
Aquilarone B
Product name: Aquilarone B
CAS NO.: 1404479-45-3  Formula: C17H18O6
Dihydroartemisinic acid
Product name: Dihydroartemisinic acid
CAS NO.: 85031-59-0  Formula: C15H24O2
Homodihydrocapsaicin I
Product name: Homodihydrocapsaicin I
CAS NO.: 20279-06-5  Formula: C19H31NO3
3'-hydroxygenkwanin
Product name: 3'-hydroxygenkwanin
CAS NO.: 20243-59-8  Formula: C16H12O6
2-(2-Phenylethyl)chromone
Product name: 2-(2-Phenylethyl)chromone
CAS NO.: 61828-53-3  Formula: C17H14O2
Page 12 / Total 702 FirstPrevNextLastGoto